基金经验

通过基金理财可以让你的财富稳定增值,但是要建立在你对基金比较了解的基础上。本栏目有很多通过基金理财赚钱的相关知识,欢迎想要通过基金理财的朋友们认真学习了解。

基金销售扣这么多钱主要有两个原因

基金经验基金销售扣这么多钱主要有两个原因

当基金收益达到预期时,投资者会卖出自己的基金获利,却发现自己卖出的基金扣了不少钱,这让一些投资者很困惑。那么是什么原因导致资金被扣这么多呢?基金卖出为什么扣那么多钱?1.基
标签:   
基金一年低点意味着什么?基金能买到一年低点吗?

基金经验基金一年低点意味着什么?基金能买到一年低点吗?

基金投资非常简单,投资门槛低,吸引了很多新手投资者购买。基金投资看似简单的低买高卖,其实还是需要一些技巧的。虽然投资基金说投资人的专业水平不高,但还是要了解一些基本的理
标签:   
换个账户可以存多少钱 可以买多少基金?

基金经验换个账户可以存多少钱 可以买多少基金?

把零钱存到微信上,我们可以获得一定的收益,因为相当于买了一只货币基金。那么改签通票最多能省多少钱?我可以同时买多少只基金?零钱通可以存多少钱?零钱的最高存款金额没有限制。
什么是基金前端 什么是基金后端?

基金经验什么是基金前端 什么是基金后端?

很多投资者在购买开放式基金时,会发现有些基金显示的是前端和后端的字样,并不了解基金前端和后端的区别。今天我们来了解一下基金的前端和后端。前端收费和后端收费哪个好?基金
基金锁定期可以取出来吗?投资者应了解赎回条件

基金经验基金锁定期可以取出来吗?投资者应了解赎回条件

投资基金有很多种方式。无论选择封闭式基金还是开放式基金,基金市场都有可行的投资方式。通常情况下,不像存款,没有特殊情况,资金不能随时支取。但与封闭式基金不同,开放式基金可
标签:   
基金定投靠谱吗?文章解释了基金定投

基金经验基金定投靠谱吗?文章解释了基金定投

对于基金投资理财,目前网上最火的方法就是定投。尤其是对于不太了解基金的新手,相信看过无数介绍基金定投优势的文章和视频,大吹大擂。但是投资这种神话基金真的那么靠谱吗?基金
你觉得基金怎么样?可以直接查看实时涨跌情况吗?

基金经验你觉得基金怎么样?可以直接查看实时涨跌情况吗?

但进入投资市场,大部分用户的目的都是为了赚取一定的投资收益。在众多投资产品中,基金投资是目前覆盖所有用户最广泛的理财方式之一。与其他投资产品相比,基金的投资门槛低,种类
南方基金管理有限公司怎么样 是一家什么样的公司?

基金经验南方基金管理有限公司怎么样 是一家什么样的公司?

目前国内有100多家基金公司,而今天我要说的是南方基金管理有限公司,可能有些投资者买过南方基金公司的基金,但对该公司了解不多。那么南方基金管理有限公司是一家怎样的公司呢?
标签:   
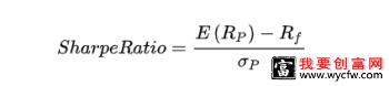
有高夏普比率的基金好吗?是不是越高越好?

基金经验有高夏普比率的基金好吗?是不是越高越好?

对于很多人来说,选择基金非常重要的三个指标是回撤率、年化收益率和夏普率,其中夏普率就是风险和收益的性价比。那么,对于一只夏普率高的基金来说是好的吗?夏普率高基金就好吗?要
如何通过这些渠道购买北交所主题基金?

基金经验如何通过这些渠道购买北交所主题基金?

北交所基金今天已经发行,投资者可以认购。然而,一些投资者仍然不知道如何购买北交所的主题基金。我来说说北交所主题基金的购买渠道。北交所主题基金怎么买?1.银行一般基金的主
标签:   

更多栏目热点

热门点击

最新黄粉虫养殖成本和利润分析

最新黄粉虫养殖成本和利润分析

想要通过养殖黄粉虫赚钱,首选要了解黄粉虫养殖成本,才...
开粮油店这样做,生意才能最好

开粮油店这样做,生意真是好

想要更多的通过开粮油店赚钱,需要了解这些方面...
蜈蚣养殖前景非常好

合理规范化养殖蜈蚣可以赚大钱

合理规范化养殖蜈蚣可以赚大钱
关于开店赚钱,你必须来了解这些

关于开店赚钱,你必须了解这些

开店,永不过时的赚钱思路
养殖最赚钱项目都在这

养殖最赚钱项目都在这

快速找到适合自己的养殖项目
种植赚钱项目合集,总有一个适合

种植赚钱项目合集快来选...

通过种植可以稳定赚钱方法。。。
网络赚钱,流量变现的必经之路

网络赚钱,流量变现的必经之路

获取流量和流量变现的致胜法宝,了解了的都赚大了